Opis
U PONUDI
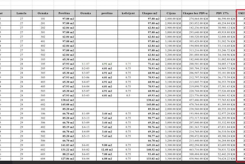
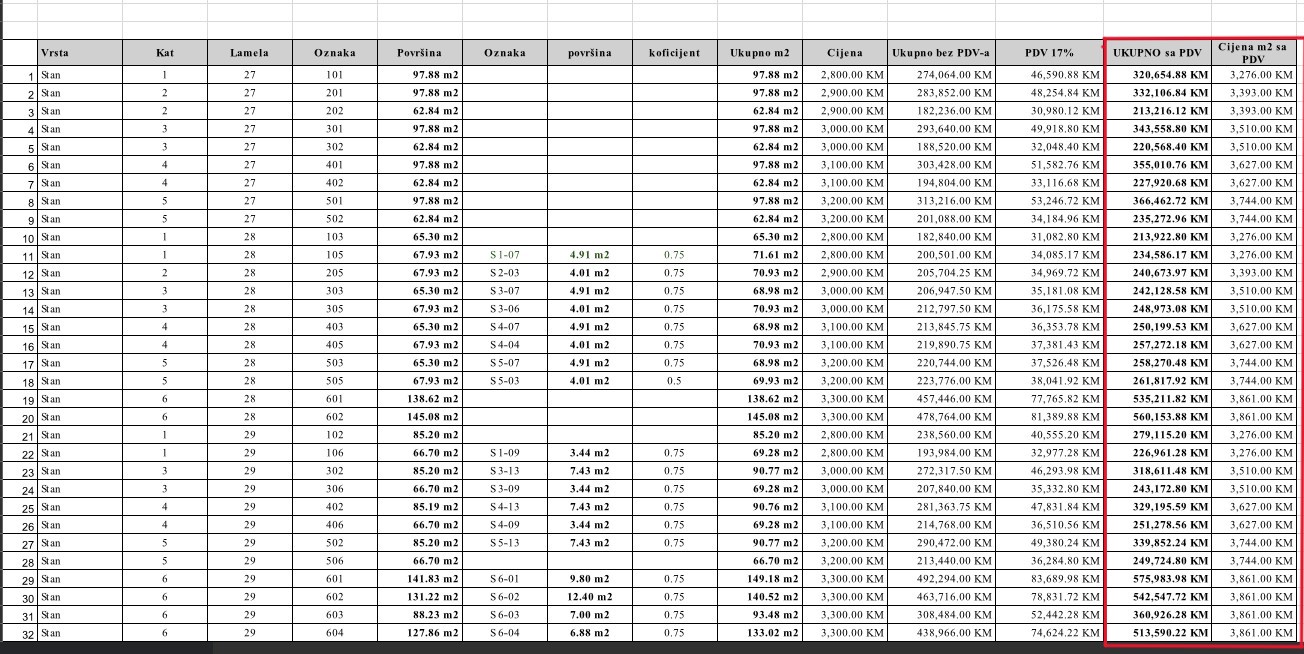
Novogradnja ,Istočno Sarajevo na entiteskoj liniji i graniči sa naseljem Dobrinja FBiH. Stanovi različitih veličina od 32 m2 do 145 m2 u dvije stambene lamele.
Objekat je u završnoj fazi gradnje. Objekat je spratnosti suteren ,prizemlje,i šest spratova. Objekat posjeduje lift.
062/649-370
065/883-249








































